莫名其妙的噪声都是怎么来的?
▼关注公众号:工程师看海▼

大家好,我是工程师看海,欢迎点赞和分享原创内容!
最近内心有些不安,今晚在院子里乘凉时,不禁想起曾经并肩作战的同事们,在这满月的夜里,他们应该有不同的感受吧。
我们设计的uV级别信号采集方案,从原理到模拟环境测试都非常顺利,然而在实际现场采集时却无法获取任何信号。下图展示了时域和频域波形,完全看不到目标信号的成分,这简直是在采集寂静。。。。。
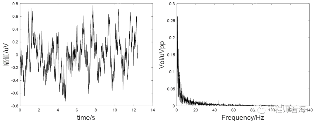
这个硬件架构从理论到仿真都表现良好,实验室内部测试模拟信号也正常,为什么到了现场测试就没有任何信号了呢?下图是实验室模拟采集的结果,效果还是相当不错的。
正当我感到困惑时,隔壁项目组突然找我帮忙解决问题。他们需要采集一个带宽较宽的信号,约1MHz,但总是有一个大约600Hz的干扰出现在系统中,甚至达到了mV级别,这是一个典型的EMC问题,从下图可以看到频率大约是580Hz。
原文来自公众号:工程师看海
分析隔壁项目组的问题相当复杂,我们彻底排查了电路,排除了系统自激和内部串扰(也称为串音干扰),也排除了电源引入的干扰,通过各种排除,最终将问题定位到他们使用的某个设备。这个设备需要靠近他们的采集系统放置,关闭设备后干扰就消失了,如下图所示的时域波形,这应该是低频近场耦合的问题。我从听到这个问题到定位大约用了3个小时,那晚我们忙到凌晨2点,幸好结果不错,也能睡得踏实一些。
然而,第一个问题依然困扰着我,为什么无法采集到信号呢?
就在前两天,又有兄弟项目组遇到了问题,和我的情况刚好相反,我是无法采集到信号,而他们是一采集信号就饱和。和我的情况非常相似的是,他们也是理论分析和模拟信号采集都正常,但是一旦到现场采集信号就饱和,问题发生的过程都非常相似,这就是真正的兄弟项目组啊。
我自己的问题还没解决,就过去和他们一起分析问题,没想到误打误撞反而为解决自己的问题带来了思路。
他们采集的是电解质液体中的电压信号,但是一连接系统,输出就立即达到最大值,而采集信号发生器的信号却非常好。我当时将这个问题归咎于他们所用的传感器类型,传感器是金属导体,而被采集的是电解质液体,即导电液体,我猜测导电液体与金属导体接触时会发生电化学腐蚀反应,他们系统之所以会饱和应该就是采集了这种腐蚀电压,相当于采集了一个电池。电化学腐蚀的原理如下图所示,不得不说,我国的初、高中数学、物理和化学课程真的非常优秀,能够解释和描述大部分生活现象。
电化学反应很常见,比如你如果用万用表的直流电压档位测凉水的电压,可能会发现大约有30mV的电压,而如果你把水换成烧开、沸腾的水,电压可能就会降低到10mV以内,这是因为烧开的水中氧气的成分减少了,我猜测这是因为金属的吸氧反应被降低,电子流动程度降低导致的,这只是我的猜测,欢迎大家留言讨论。
发现了原因之后,我初步制定了一套硬件优化方案,等兄弟们实践后看看结果如何,能不能打脸,就全靠他们了。看着我提出的方案,我一拍脑门,这不就是我的问题的反解吗!
我只要调整两个电阻的阻值,我的这个问题应该就能得到改善,能找到我的问题根因,也是误打误撞,电路设计的陷阱还是非常多的,书上写的再好,实际应用中总会遇到各种突发因素的影响。
这就像我最近在看的一个模型推导,推了半天,结果人家用的是另一个模型,就好比产品推销员向你吹嘘他们的电脑产品多牛逼,多快,多厉害,结果后来发现,他卖的却是手机,这谁心里会宁静啊!
<< 上一篇
下一篇 >>
网友留言(0 条)